問題
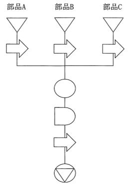
Ⅲ-6 以下の工程図は、3部品(A,B,C)を接着剤で貼り合わせて製品を完成させる職場において、製品工程分析を行った結果である。工程図に関する次の記述のうち、最も不適切なものはどれか。

① 完成した製品は貯蔵されるが、貯蔵中に接着剤を乾燥させる意味も含む。
② 接着された製品は搬送され、品質検査を受ける。
③ 部品AとBとCを接着した後、搬送されるまで待たされる。
④ 部品AとBとCの搬送は、まったく同じタイミングで実施されているとは限らない。
⑤ 部品AとBとCは、それぞれ貯蔵されている。

解答
正解は 2 になります。
工程分析・工程図の基本概要
工程分析とは、製造現場における作業や流れを「工程図(フローチャート)」としてわかりやすく可視化する技法です。生産管理や作業改善の分野では、工程記号を用いて「部品加工」「検査」「搬送」「貯蔵」「手待ち・停滞」など、現場の流れをひと目で把握できるように図示します。
この問題で登場する工程図は、「部品A・B・Cを接着剤で貼り合わせて製品を完成させる職場」における製品工程を分析したものです。
各部品は貯蔵され、必要に応じて搬送され、接着作業の工程に投入されます。
その後手待ち・停滞などを経て、完成品として貯蔵される—という一連の流れを表しています。
工程図記号の正式な意味と本問題での対応
| 記号 | 工程図における意味 |
|---|---|
| ○(丸) | 加工・作業 |
| □(四角) | 数量検査 |
| ◇(ひし形) | 品質検査 |
| ▽(逆三角) | 貯蔵・保管 |
| D(半円+四角) | 手待ち・停滞 |
| →(矢印) | 搬送・移動 |
本問の工程図では、「○」が作業(接着)、上部の「▽」が部品の貯蔵、下部の「▽」が完成品の貯蔵、「D(半円+四角)」が手待ち・停滞、「→」が搬送を表しています。
検査工程は「□(数量検査)」または「◇(品質検査)」で表現されるため、工程図にこれらが無ければ該当する検査は実施されていません。
各選択肢の詳細な解説
① 完成した製品は貯蔵されるが、貯蔵中に接着剤を乾燥させる意味も含む
解説:
工程図の最下部「▽」は完成品の貯蔵を意味します。
接着剤による製造工程では、硬化・乾燥時間のために“完成品を一時的に保管する”ことが一般的です。
この保管工程の間、接着剤が十分に乾燥・固化され、最終的な品質確保に資する役割も果たします。
② 接着された製品は搬送され、品質検査を受ける
解説:
これが不適切な記述です。
工程図を確認すると、接着作業(○)の後は「D(半円+四角)」の手待ち・停滞工程、そして搬送(→)と貯蔵(▽)の工程のみです。
「◇」の品質検査記号がどこにも無いため、この工程図では品質検査は行われていません。
従って、「品質検査を受ける」という記述は図と合致しません。
③ 部品AとBとCを接着した後、搬送されるまで待たされる
解説:
接着作業の後には「D(半円+四角)」の手待ち・停滞工程が現れています。
これは次工程への搬送が可能になるまで、製品が一時停滞・待機することを意味します(例:設備待ち、乾燥待ちなど)。
工程図の流れと合致しています。
④ 部品AとBとCの搬送は、まったく同じタイミングで実施されているとは限らない
解説:
各部品は個別の貯蔵(▽)から個別に搬送(→)され、接着作業に供されます。
現場では在庫状態や設備の都合により、搬送タイミングは必ずしも同時とは限りません。
この工程図も同時搬送を示しているわけではありません。
⑤ 部品AとBとCは、それぞれ貯蔵されている
解説:
図の上部にそれぞれ独立した貯蔵(▽)記号があります。
これは三つの部品が、それぞれ個別に在庫・貯蔵されていることを明示しています。
工程図記号まとめ表
| 記号 | 意味 | 本問題での位置 |
|---|---|---|
| ○(丸) | 加工・作業 | 接着作業 |
| □(四角) | 数量検査 | 無し |
| ◇(ひし形) | 品質検査 | 無し |
| ▽(逆三角) | 貯蔵・保管 | 部品A・B・C・完成品 |
| D(半円+四角) | 手待ち・停滞 | 接着後 |
| →(矢印) | 搬送・移動 | 各工程間 |
まとめ:この問題の要点
- 工程図は、現場の流れや工程の関係・順序を可視化した管理・分析ツール
- 各工程記号の正式な定義を理解することが品質管理や工程分析の基礎
- 接着作業後の「品質検査」が図示されていないため、②が不適切
- 「数量検査」は□、「品質検査」は◇の記号で表す
- 図と記述のズレを正しく指摘できることが技術士に求められるスキル
感想
工程図、久々な気がします。気のせいか?
何度も出てきているので本日は正解でしたよ。
でも忘れかけていたので表を2回出して、再度確認できるようにしました。
この問題が一番近いですね

その他、関連問題もしたのリンクからたどれるようになっているので是非ご覧ください。
