問題
Ⅲ-8 以下のa~dの【条件】で行っているライン生産において次の記述のうち、最も不適切なものはどれか。
【条件】
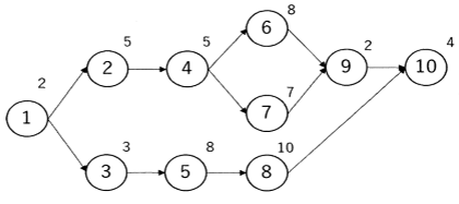
a.下図の円の内側の数字は作業要素の識別番号,円の外側の数字は要素作業時間を表している。また,円を結ぶ矢印は作業要素の先行関係を示している。
b.作業要素は表に示されているように3工程又は4工程に割り当てられる。
c.各工程での最大の作業時間をサイクルタイムとして運用する。
d.各工程の作業者数は、それぞれ1名である。

| 工程 | 作業要素 |
|---|---|
| 1 | 1 2 3 5 |
| 2 | 4 6 7 |
| 3 | 8 9 10 |
4工程案
| 工程 | 作業要素 |
|---|---|
| 1 | 1 2 3 |
| 2 | 4 5 |
| 3 | 6 7 |
| 4 | 8 9 10 |
① 3工程案でのサイクルタイムは、20である。
② 3工程案での作業要素7と8を入れ替えると、サイクルタイムは短くなる。
③ 3工程案での編成効率は、90%である。
④ 4工程案でのラインの編成効率は、3工程案よりも低い。
⑤ 4工程案での作業要素3と4を入れ替えても、バランスロス率は変わらない。

解答
正解は 2 になります。
問題の全体解説
この問題は、ライン生産方式(ラインバランシング)における工程管理の基本概念と実践的な計算を問う内容です。
主な論点は、作業要素の工程への割り当て・サイクルタイム・編成効率・バランスロス率など、生産管理の基礎指標とその計算プロセスとなります。
工程案の理解・各選択肢の計算根拠など、根本から詳細に解説していきます。
作業要素と作業時間一覧
| 作業要素 | 作業時間(分) |
|---|---|
| 1 | 2 |
| 2 | 5 |
| 3 | 3 |
| 4 | 5 |
| 5 | 8 |
| 6 | 8 |
| 7 | 7 |
| 8 | 10 |
| 9 | 2 |
| 10 | 4 |
この10個の作業要素を、3工程案/4工程案でどのように分割したかをまず確認します。
3工程案と4工程案の割り当て
3工程案
| 工程 | 作業要素 | 合計作業時間 |
|---|---|---|
| 1 | 1,2,3,5 | 2+5+3+8=18 |
| 2 | 4,6,7 | 5+8+7=20 |
| 3 | 8,9,10 | 10+2+4=16 |
→ サイクルタイム(最大値)は 20分
4工程案
| 工程 | 作業要素 | 合計作業時間 |
|---|---|---|
| 1 | 1,2,3 | 2+5+3=10 |
| 2 | 4,5 | 5+8=13 |
| 3 | 6,7 | 8+7=15 |
| 4 | 8,9,10 | 10+2+4=16 |
→ サイクルタイム(最大値)は 16分
重要用語の整理
サイクルタイム(Cycle Time)
各工程の最長作業時間。生産ライン全体がこの時間に合わせて稼働する。
編成効率(Line Balancing Efficiency)
全作業要素の合計作業時間 ÷ (サイクルタイム × 工程数)
バランスロス率(Balance Loss Rate)
(サイクルタイム × 工程数 – 全作業要素合計時間) ÷ (サイクルタイム × 工程数)
編成効率・バランスロス率の実際の計算
全作業要素合計時間:$$2 + 5 + 3 + 5 + 8 + 8 + 7 + 10 + 2 + 4 = 54 \text{分}$$
3工程案
- サイクルタイム:20分
- 工程数:3
- 理論最大稼働時間:20 × 3 = 60分
- 編成効率:$$\frac{54}{60} \times 100 = 90\%$$
- バランスロス率:$$\frac{60 – 54}{60} \times 100 = 10\%$$
4工程案
- サイクルタイム:16分
- 工程数:4
- 理論最大稼働時間:16 × 4 = 64分
- 編成効率:$$\frac{54}{64} \times 100 = 84.375\%$$
- バランスロス率:$$\frac{64 – 54}{64} \times 100 \approx 15.625\%$$
選択肢ごとの詳細解説
① 3工程案でのサイクルタイムは、20である。
→ 正しい。上記割り当て表の通り、最大作業時間は工程2の20分。
② 3工程案での作業要素7と8を入れ替えると、サイクルタイムは短くなる。
→ 不適切。(正解選択肢)
【検証】
- もともと工程2: 4,6,7 (5+8+7=20分)、工程3: 8,9,10 (10+2+4=16分)
- 7(7分)と8(10分)を交換すると、工程2: 4,6,8 (5+8+10=23分)、工程3: 7,9,10 (7+2+4=13分)
- サイクルタイムは「23分」と長くなる。したがって「短くなる」は誤り。
③ 3工程案での編成効率は、90%である。
→ 正しい。実計算で 90%。
④ 4工程案でのラインの編成効率は、3工程案よりも低い。
→ 正しい。実計算で3工程案(90%)よりも4工程案(約84.4%)が低い。
⑤ 4工程案での作業要素3と4を入れ替えても、バランスロス率は変わらない。
→ 正しい。作業時間(3分・5分)の工程入れ替えによっても、各工程の最大値(サイクルタイム)は変わらないため、バランスロス率も変化しない。
検証のポイント(図解イメージ)
| 工程案 | 工程ごとの作業時間 | サイクルタイム | 編成効率 |
|---|---|---|---|
| 3工程 | 18/20/16 | 20 | 90% |
| 4工程 | 10/13/15/16 | 16 | 84.4% |
まとめ
ライン生産の工程割り当てでは、サイクルタイムによる全体効率(編成効率)と負荷バランス(バランスロス率)の正確な計算が大切です。特に作業要素の入れ替えでサイクルタイムがどう変化するかは頻出テーマであり、割り当てや計算ロジックに強くなれば実務でも応用が利きます。
感想
この手の問題も頻出ですね。
前回の、「(再)」がつかない平成元年度にも出ています。

今回もじっくり手で書いて計算しました。
どうにか正解!!
